由點和線所組成。
兩大類
規則
不能連自己
無向圖相連只能有一個線,有向圖相連最多只能有兩條線。
1.無向圖

2.有向圖

名詞介紹
1.相鄰(adjacent)

a、b除了e以外都相鄰。
e只與d、c相鄰。

b只與d相鄰
d與a、b、c相鄰
2.路徑(path)
點與點之間到的了就叫做連通的(connected)。

a與任意點都連通。
3.環路(cycle)
起點從a終點回a。

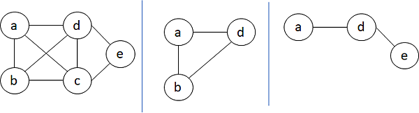
4.子圖(subgraph)

5.連通圖(connected graph)
任意兩個點都可以互通。
無向圖稱連通圖

有向圖稱強連通圖

c可通e但是e不可通c所以這個圖就不是強連通圖,改成下面這個就是了。

6.完全圖
點的數量*(點的數量-1)/2 = 線的數量。

4(4-1)/2 = 6 為完全圖。

5(5-1)/2 = 10 不是完全圖。

5(5-1)/2 = 10 為完全圖。
7.分支度

a的分支度為2。
b的分支度為3。

a的出分支度為1。
a的入分支度為2。
e的出分支度為1。
e的入分支度為0。
文章標籤
全站熱搜
