書-深度學習的數學

柯西-施瓦茨不等式
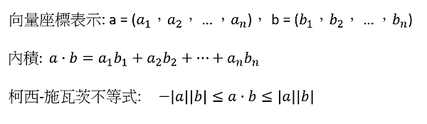
內積的座標表示
向量的一般化
柯西-施瓦茨不等式
內積公式: a‧b=abcosθ
根據我們的內積公式可以得出柯西-施瓦茨(ㄘˊ)不等式。
柯西-施瓦茨(ㄘˊ)不等式: -aba‧bab
證明:
根據余弦函數的性質(余弦函數的極小值跟極大值是[-1,1]),對任意θ,有-1cosθ1,兩邊同乘ab,有
-ababcosθab


根據內積來知道兩個向量的相似度。

內積的座標表示



有些文獻會用上面兩個當作內積的定義。
二維:

三維:

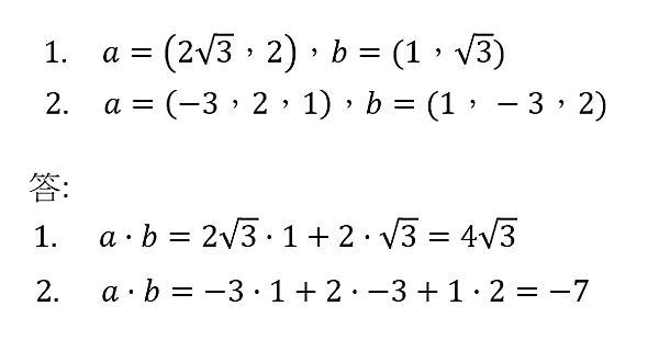
求a、b向量的內積

向量的一般化
看了二維&三維空間的性質,雖說神經網路要處理數萬維的空間,但是二維跟三維空間的性質可以直接使用,向量被運用在梯度下降法中,我們先看如何把二維&三維空間中的向量公式用到n維空間中。



文章標籤
全站熱搜
