書-深度學習的數學

Σ符號
Σ符號的性質
向量基礎
Σ符號
可以簡潔地表示數列的總和,如果沒學過會很苦惱的。


看了例子之後就可以很清楚的知道Σ符號所表達的意思。上面的例子,就好像for迴圈先宣告i=1如果i<m就把i+1,只有i是一直變換的2就是固定的。
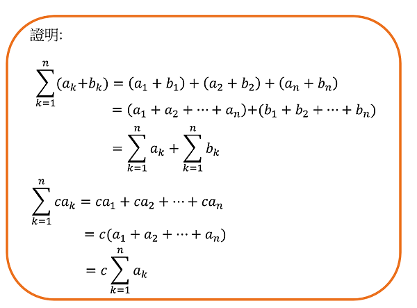
Σ符號的性質


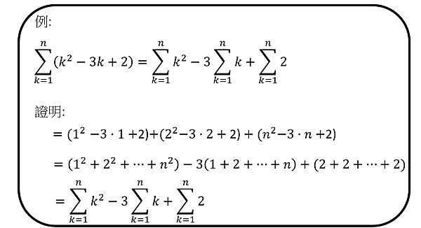
下面有例子可以證證看。

常數會被移到Σ的前面,上面有證過。
2·1+2·2+2·3 = 2(1+2+3)

向量基礎
向量的定義是有方向、大小的量。

有方向的線稱為有向線段,有3個屬性分別是A的(位置),指向B的(方向),A到B的(大小)。
總結:
向量是有方向、大小的量,用三個用箭頭表示法。

下面會講些向量的東西
文章標籤
全站熱搜
